JavaScript 中的树数据结构
树是一种有趣的数据结构。它在各个领域都有广泛的应用。
例如:
- DOM 是一种树状数据结构
- 我们操作系统中的目录和文件可以表示为树
- 家庭层次结构可以表示为一棵树。
树的许多变体(例如堆、BST 等)可用于解决与调度、图像处理、数据库等相关的问题。许多复杂的问题乍一看似乎与树无关,但可以实际上被表示为一个树。
二叉树
实现一个二叉树,非常简单:
function Node(value) {
this.value = value;
this.left = null;
this.right = null;
}
// usage
const root = new Node(2);
root.left = new Node(1);
root.right = new Node(3);
遍历
让我们从尝试遍历这些连接的树节点(或一棵树)开始。正如我们可以遍历数组一样,如果我们也可以“遍历”树节点,那将会很酷。然而,树不是像数组那样的线性数据结构,所以遍历这些的方法不止一种。我们可以将遍历方法大致分为以下几类:
- 广度优先遍历
- 深度优先遍历
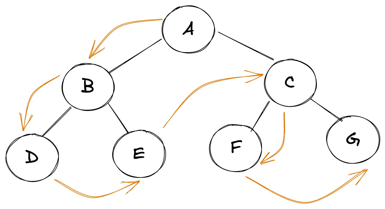
广度优先遍历 BFS
在这种方法中,我们逐层遍历树。我们将从根开始,然后覆盖它的所有子级,然后覆盖所有 2 级子级,依此类推。例如,对于上面的树,遍历将导致如下结果:
2, 1, 3
这是一个稍微复杂的树的插图,使这更容易理解:

为了实现这种形式的遍历,我们可以使用队列(先进先出)数据结构。以下是整个算法的样子:
- 启动一个包含 root 的队列
- 从队列中删除第一项
- 将弹出项的左右孩子推入队列
- 重复步骤 2 和 3,直到队列为空
下面是这个算法在实现后的样子:
function walkBFS(root) {
if (root === null) {
return;
}
const queue = [root];
while (queue.length) {
const item = queue.shift();
// do something
console.log(item);
if (item.left) {
queue.push(item.left);
}
if (item.right) {
queue.push(item.right);
}
}
}
我们可以稍微修改上面的算法以返回一个数组数组,其中每个内部数组代表一个包含元素的级别:
function walkBFS(root) {
if (root === null) {
return;
}
const queue = [root];
const ans = [];
while (queue.length) {
const len = queue.length;
const level = [];
for (let i = 0; i < len; i++) {
const item = queue.shift();
level.push(item);
if (item.left) {
queue.push(item.left);
}
if (item.right) {
queue.push(item.right);
}
}
ans.push(level);
}
return ans;
}
深度优先遍历 DFS
在 DFS 中,我们取一个节点并继续探索它的子节点,直到深度耗尽为止。它可以通过以下方式之一完成:
- 先序遍历:根左右
- 中序遍历:左根右
- 后序遍历:左右根
root node -> left node -> right node // pre-order traversal
left node -> root node -> right node // in-order traversal
left node -> right node -> root node // post-order traversal
所有这些遍历技术都可以递归和迭代实现。让我们进入实现细节:
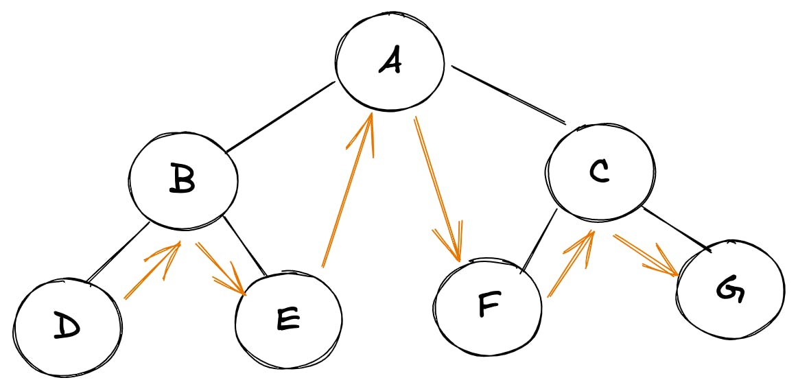
前序遍历
这是树的 PreOrder 遍历的样子:
root node -> left node -> right node

我们可以使用这个简单的技巧来手动找出任何树的 PreOrder 遍历:从根节点开始遍历整棵树,保持自己在左边。

让我们深入研究这种遍历的实际实现。 递归方法相当直观。
function walkPreOrder(root) {
if (root === null) {
return;
}
// do something here
console.log(root.value);
// recurse through child nodes
if (root.left) {
walkPreOrder(root.left);
}
if (root.right) {
walkPreOrder(root.right);
}
}
PreOrder 遍历的迭代方法与 BFS 非常相似,除了我们使用 stack 代替 queue 并且我们首先将右孩子推入堆栈:
function walkPreOrder(root) {
if (root === null) {
return;
}
const stack = [root];
while (stack.length) {
const item = stack.pop();
// do something
console.log(item);
// Left child is pushed after right one, since we want to print left child first hence it must be above right child in the stack
if (item.right) {
stack.push(item.right);
}
if (item.left) {
stack.push(item.left);
}
}
}
中序遍历
下面是一棵树的 InOrder 遍历的样子:
root node -> left node -> right node

我们可以使用这个简单的技巧来手动找出任何树的 InOrder 遍历:在树的底部水平放置一个平面镜,并获取所有节点的投影。

function walkInOrder(root) {
if (root === null) {
return;
}
if (root.left) {
walkInOrder(root.left);
}
// do something here
console.log(root);
if (root.right) {
walkInOrder(root.right);
}
}
这个算法起初可能看起来有点神秘。但它相当直观。让我们这样看:在 InOrder 遍历中,最左边的孩子首先被打印,然后是根,然后是右孩子。所以首先想到的是想出这样的东西:
let curr = root;
while (curr) {
while (curr.left) {
curr = curr.left; // get to leftmost child
}
console.log(curr); // print it
curr = curr.right; // now move to right child
}
在上述方法中,我们无法回溯,即返回导致最左侧节点的父节点。所以我们需要一个堆栈来记录这些。因此,我们修订后的方法可能如下所示:
const stack = [];
let curr = root;
while (stack.length || curr) {
while (curr) {
stack.push(curr); // keep recording the trail, to backtrack
curr = curr.left; // get to leftmost child
}
const leftMost = stack.pop();
console.log(leftMost); // print it
curr = leftMost.right; // now move to right child
}
现在我们可以使用上面的方法来制定最终的迭代算法:
function walkInOrder(root) {
if (root === null) {
return;
}
const stack = [];
let current = root;
while (stack.length || current) {
while (current) {
stack.push(current);
current = current.left;
}
const last = stack.pop();
// do something
console.log(last);
current = last.right;
}
}
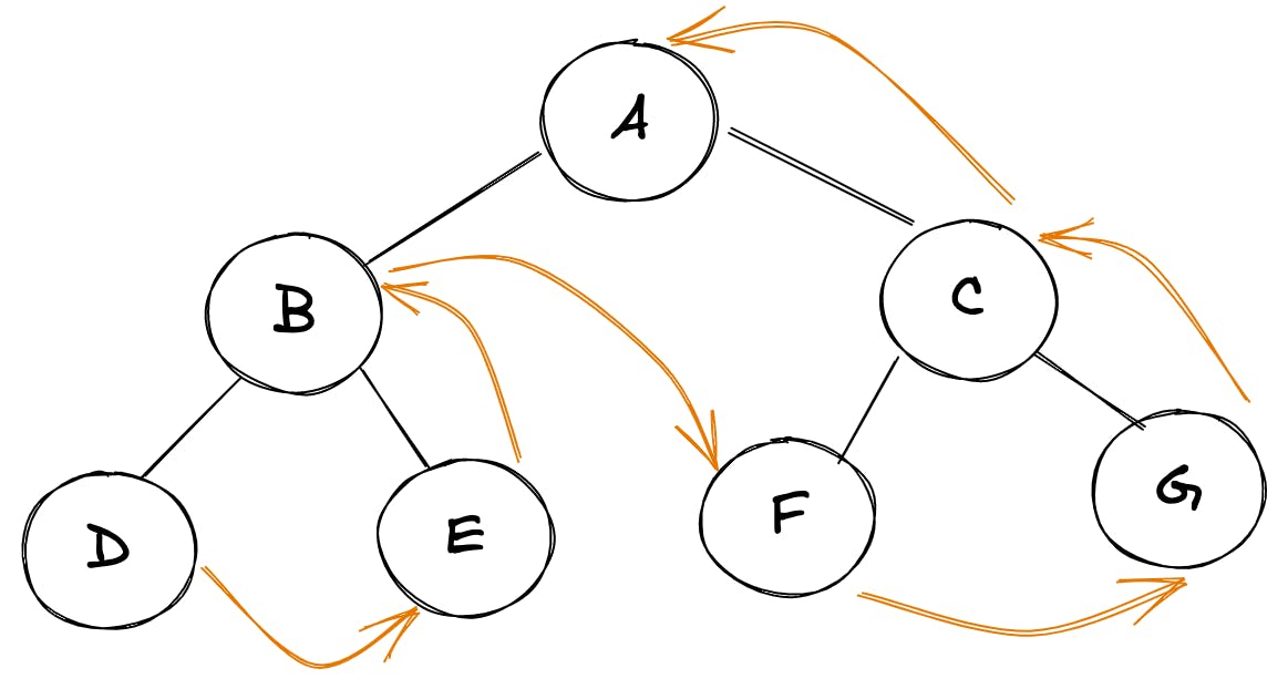
后序遍历
以下是树的 postOrder 遍历的样子:
left node -> right node -> root node

对于任何树的快速手动 PostOrder 遍历:一个接一个地提取所有最左边的叶节点。

让我们深入研究这种遍历的实际实现。
function walkPostOrder(root) {
if (root === null) {
return;
}
if (root.left) {
walkPostOrder(root.left);
}
if (root.right) {
walkPostOrder(root.right);
}
// do something here
console.log(root);
}
我们已经有了用于 preOrder 遍历的迭代算法。我们可以用那个吗?由于 PostOrder 遍历似乎只是 PreOrder 遍历的反向。让我们来看看:
// PreOrder:
root -> left -> right
// Reverse of PreOrder:
right -> left -> root
// But PostOrder is:
left -> right -> root
啊! 所以有一点点区别。但是我们可以通过稍微修改我们的 PreOrder 算法然后反转它应该给出 PostOrder 结果来适应这一点。总体算法将是:
// record result using
root -> right -> left
// reverse result
left -> right -> root
- 使用与上述迭代 preOrder 算法类似的方法,使用临时 stack.
- 唯一的例外是我们去 root -> right -> left 而不是 root -> left -> right
- 继续记录数组中的遍历序列 result
- 反转 result 给出 postOrder 遍历
function walkPostOrder(root) {
if (root === null) {
return [];
}
const tempStack = [root];
const result = [];
while (tempStack.length) {
const last = tempStack.pop();
result.push(last);
if (last.left) {
tempStack.push(last.left);
}
if (last.right) {
tempStack.push(last.right);
}
console.log("last", last);
}
return result.reverse();
}
JavaScript 实用例子
如果我们可以通过以下方式遍历树该多好:
for (let node of walkPreOrder(tree)) {
console.log(node);
}
看起来真的很好而且很容易阅读,不是吗?我们所要做的就是使用一个 walk 函数,它会返回一个迭代器。
以下是我们如何修改 walkPreOrder 上面的函数以按照上面共享的示例运行:
function* walkPreOrder(root) {
if (root === null) {
return;
}
const stack = [root];
while (stack.length) {
const item = stack.pop();
yield item;
if (item.right) {
stack.push(item.right);
}
if (item.left) {
stack.push(item.left);
}
}
}
for (let node of walkPreOrder(root)) {
console.log(node);
}
Keywords
数据结构 二叉树 遍历